
前言
酒精性肝病(ALD)是一个紧迫的全球健康问题,在酒精相关的疾病与死亡中占很大比重。根据世界卫生组织和《肝病学》(2024年)的最新数据,全球ALD患者超过1.5亿,其中30%至50%的长期饮酒者以及高达90%的酒精使用障碍患者会发展为ALD。该疾病的谱系涵盖从酒精性脂肪肝(AFL)到肝炎、纤维化、肝硬化乃至肝细胞癌(HCC),其年死亡率高达15%至20%。
目前治疗的整体疗效有限,而“肠-肝轴”在ALD的发病机制中起着关键作用,临床前和临床研究表明,益生菌可以恢复肠道微生物群平衡,强化黏膜屏障,抑制内毒素血症,并缓解肝脏炎症。
作用机理
BC99复合益生菌干预酒精性脂肪肝机制:BC99复合益生菌,调节肠道菌群,改善微生态平衡;经肠-肝轴信号传递,上调抗氧化相关指标如:EGCG,S-(甲基)谷胱甘肽,没食子酸等;最终显著降低血清ALT、AST、GGT等肝功能指标以及改善脂质代谢,降低TG,TC等指标,从而改善酒精性肝损伤。

相关专利、SCI、临床试验结论
1、改善肝功能

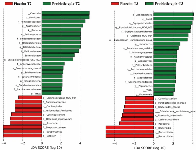
图1益生菌改善酒精性肝病
在第15天,与安慰剂组相比,益生菌组在肝功能(ALT,AST,GGT,ALP,TBiL)和脂质代谢(TG,TC,LDL-C,HDL-C)的血清标志物方面表现出显著改善作用,表明早期治疗有益。在第30天,观察到ALT、AST、GGT、ALP等指标的进一步降低,同时HDL-C持续升高,表明益生菌补充在改善肝脏和脂质方面持续有效。
2、改善肝脏抗氧化能力

图2 改善酒精性肝病患者肝脏抗氧化能力
BC99复合益生菌干预后,多种抗氧化代谢物及其生物合成前体显著上调,包括表没食子儿茶素没食子酸酯(EGCG)、S-(甲基)谷胱甘肽、没食子酸、L-胱氨酸等。这些化合物具有清除活性氧(ROS)、增强谷胱甘肽代谢和激活抗氧化防御系统的能力,从而保护肝细胞免受氧化应激诱导的损伤,缓解ALD导致的炎症,减轻肝损伤水平。
3、调节肠道菌群

图3 改善酒精性肝病患者肠道菌群
在第15天,与安慰剂组相比,复合益生菌组双歧杆菌,乳杆菌属等有益菌属丰度增加;在第30天,与安慰剂组相比,复合益生菌组粪杆菌属,阿克曼氏菌属等有益菌属丰度增加。
总结
复合益生菌(BLa80+LRa05+BC99+BC179)可快速且持续地改善肝功能与脂质代谢紊乱,并且上调核心抗氧化代谢物增强肝脏抗氧化防御能力,还能动态优化肠道菌群结构、富集有益菌属,通过“肠—肝轴”进一步减轻肝脏损伤与炎症反应。
数据来源:
1、多株益生菌通过微生物群-代谢轴缓解酒精性肝病,一项随机、双盲、安慰剂对照实验(临床SCI Doi:10.1007/s12602-025-10818-6)
免责声明:文章包含的信息来自微康益生菌、互联网及其他社会渠道。我们致力于确保内容的准确性和完整性,但由于信息来源的广泛性和多样性,我们无法对所有信息的真实性、完整性和时效性进行逐一核实与验证。如在信息在传播过程中发现失真、遗漏或误解,请与我们联系删除。

市场活动
苏公网安备 32050902100391号


